Data Structure and Algorithm
This page cover advanced topic. Ordered by roadmap and the best solution in later part.
Array and Strings
| Technique | Description | Complexity |
|---|---|---|
| Two Pointer Technique | An active and passive pointer iterates | O(n) |
| Sliding Window Technique | A window slides among the array | O(n * k) → O(n) |
Array and Strings LeetCode
Linked List
A linked list is a data structure that the node points to next node in list. Stack is FIFO, Queue is FIFO.
Linked List LeetCode
Hash
Sometimes called as hash, hash map, map, unordered map, dictionary. A hash function maps a key to a value. It it consistent and irreversible. Suitable for quick key to value query but not the opposite.
Collision happens when two different key maps to the same value. In open addressing, the collided keys are mapped to a new index. Linear probing maps to next free index. Double hashing maps the value again with a offset. Quadratic probing maps to next offset in quadratic sequence until a free index is found. In closed addresing, a linked list is used for collided keys.
| Language | Hash | Description |
|---|---|---|
| Python | Dictionary | Use open addressing, resize at a threshold |
| C++ | Unordered Map | Use closed addressing (bucket) |
| Java | HashMap | Use bucket, change to balanced tree at a threshold |
| C | uthash library | Manual |
Tips
Map in C++ is a red-black tree. It uses less memory than hash table.
Tree
| Traversal | Steps |
|---|---|
| Pre-order | Root -> Left -> Right |
| In-order | Left -> Root -> Right |
| Post-order | Left -> Right -> Root |
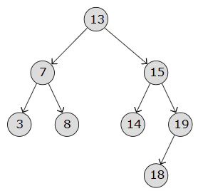
Binary Search Tree
Binary tree index nodes in an array in BFS order.The left node of i is i*2 + 1 and right node of i: i*2 +2. Binary search tree is a binary tree where the value of the left node is less than the root node and the value of the right node is greater than the root node. This have complexity of O(log n) for search.

It’s straight forward to insert a node. To delete a node, there’s 3 condition.
- If node is leaf, delete it.
- If node has one child, replace the node with its child.
- If node has two children, find the minimum value of the right subtree (in-order traversal first successor) and replace the node with it.
Tree LeetCode
Radix Tree
Stores prefix in an efficient way.
api/
/ \
user/ product/
/ \ / \
id get id getDynamic Programming LeetCode
TesatHeap (Priority Queue)
A min(max) heap is a tree that the children of a node is always greater(lesser) than or equal to its parent. The root is the minimum(maximum) value. This have complexity of O(log n) for insert and delete.
Initially, a binary tree looks like this. Let’s make a max heap.
10
/ \
20 5
/ \ / \
6 1 8 9Heapify starts at the last non-leaf node and move upwards. In this case, start from 20. It’s childern is less than 20. Move upwards, 20 is greater than 10, so swap.
20
/ \
10 5
/ \ / \
6 1 8 9Continue until a maxheap is created.
20
/ \
10 5
/ \ / \
6 1 8 9After inserting a node, heap to the root. After delete the root node, move the final leaf to the root and heap.
AVL Tree
Derived from BST. But it keeps the balance of the tree when a node is inserted by making sure difference between left and right subtree is less than 2. Balance Factor, BF = height of left subtree - height of right subtree. If BF > 0, the node is right heavy. If BF < 0, the node is left heavy.
| Case | Description | Solution |
|---|---|---|
| LL | node and left child are left heavy | Rotate right |
| RR | node and right child are right heavy | Rotate left |
| LR | node is left heavy and left child is right heavy | Rotate left on left child then right on node |
| RL | node is right heavy and right child is left heavy | Rotate right on right child then left on node |

temp = pivot_next.rlink
pivot_next.rlink = pivot
pivot.llink = temp
Red-black Tree
Similar to AVL, but do lesser operation for insert and delete. AVL is better for frequent search with balanced tree.
Rules
- New node is always red
- Root is always black
- All leaves including null are black
- Nodes must be red or black
- Child of red must be black
- All path from root to leaves must has the same number of black nodes
Operations for Fixing Violation
- If parent and uncle are red, make parent and uncle black and grandparent red. Then, fix at gradparent.
- If uncle is black, node is grandparent right(left) of right(left) child, make parent black and grandparent red and rotate left(right) at gradparent. Then, fix at grandparent.
- If uncle is black, node is grandparent left(right) of right(left) child, rotate left(right) at parent (This leads to 2). Then, fix at parent.

Imagine inserting on this sequence: 16, 8, 4, 2, 1, 3, 2, 5
Reference: Intro, Detail, visualization
Fenwick Tree
Efficiently compute prefix sum. For search and insert, it takes O(log n).

Properties
a = [1, 2, ... , n]
lsb(i) = i & -i (& denotes bitwise AND)
Parent of node i = i - lsb(i) = i & (i-1). Try to observe the bits in the image, what the lsb is doing.
At level k, there is C(log2 n, k) combination of nodes. Ex: C(3, 2) = 2^0 + 2^1, 2^0 + 2^2, 2^1 + 2^ = (3, 5, 6)
A node have lsb(i)
F[i] = sum of `(a[i - lsb(i)], a[i]]`
# Interrogation (Query)
To search a range of prefix sum, let say i, j = [7, 8]. The common ancestor must be j - lsb(j), that is 0. Subtract F[j] from F[i]. Currently, F[8] contains sum of `a(0, 8]`, F[7] contains sum of 7. Then we continue iterate so new_i = i - lsb(i), which is the parent of F[i]. Now new_i is 6, we subtract (F[8] - F[7]) from F[6]. F[6] contains sum of 5 and 6. Continue until i != j - lsb(j). We will get the prefix sum of 8 and 7. That results in a[8]
# Update
Here, the parent of a node is different: i + lsb(i) = (i|(i - 1)) + 1. Let say we update node 6 by +3. The parent of 6 is 8. Change F[6] += 3. Then, continue update i's parent recursively until i exceed n. The parent of 6 is 8. Change F[8] += 3. The parent of 8 is 16. We stop here.
When we search F[1, 5] theres no update. When we search F[6], we include the updated value. When we search F[7], it will adds the parents: F[4], F[6], F[7], the updated value is included. When we search F[14], it will adds the parents: F[8], F[12], F[14], the updated value is included.
# Search Rank
Given a prefix sum, we can calculate rank in O(log n). Nodes with odd indexes lsb(i) = 1 are leaves. Node i parent is (i - lsb(i) | 2 lsb(i)), node i child is i +- lsb(i) / 2. It looks like this:
4
/ \
2 6
/ \ / \
1 3 5 7
Let say we want to find rank of an integer F[3]. Start at root, F[3] < F[4], traverse left. F[3] > F[2], traverse right. Now we got the answer. The index of 3 is 6. From index 6, we can calculate the rank is 3.Graph
Shortest Path
Dijkstra’s Algorithm
Find shortest path from one vertex to all other vertex. Does not work for negative edge weight.

Find min{current cost from v to u, cost from current vertex to u}
Bellman-Ford Algorithm
Find shortest path from one vertex to all other vertex. Work for negative edge weight. Slower than Dijkstra. If dist[v] > dist[u] + weight of edge uv, then update dist[v]

Floyd-Warshall Algorithm
Finds shortest path from every vertex to all other vertex. Work for negative edge weight. Slower than Dijkstra and Bellman-Ford. In a matrix i,j, if (i, k) + (k, j) < (i, j), then update.
A Search*
At a node, approximate the distance of the next node to the goal. Then pick the shortest approximate.
Minimum Spanning Tree
A tree in a graph that only contains all of the vertex of the graph with smallest total weight
Kruskal’s algorithm

- Select edge with smallest weight
- Add the next smallest weight edge to forest if it does not cause a cycle
- Stop if there is n-1 edges, else goto step 2
Prim’s Algorithm

- x in V, A = {x}, B = V - {x}
- Select (u, v) where u in X, v in Y such that (u, v) has smallest weight between A and B. Memorizing the minimal discovered edge
- Put (u, v) in tree. A = A U {v}, B = B - {v}
- If B = empty, stop, else, go to step 2
Cycle Basic
Cycle basis is set of cycles that can generate every cycle in graph using ring sum operator (linear combination).
- Determine size of minimal cycle basis as k
- Find all cycles and sort by weight. Add cycles to cycle basis one by one if it cannot be formed by combination of some cycles already in cycle basis. Using Gaussian Elimination
- Stop if cycle basis has k cycles
k= |Edge Count| − (|Vertex Count| − 1)
Sort
| Method | Steps | Best | Average | Worst |
|---|---|---|---|---|
| Insertion Sort | Iterate and move smaller element to the left until correct position | O(n) | O(n^2) | O(n^2) |
| Selection Sort | Iterate and move smallest element to the first element | O(n) | O(n log n) | O(n^2) |
| Bubble Sort | Iterate and move largest element to the last element | O(n) | O(n^2) | O(n^2) |
| Method | Steps | Complexity |
|---|---|---|
| Merge Sort | Divide and sort at each merge | O(n log n) |
| Quick Sort | Partition and sort recursively | O(n^2) |
| Heap Sort | Refer to heap | O(n log n) |
| Knowckout Sort | Tournament rule the largest at the root and the next largest at the child of the parent | O(n log n) |
| Huffman Algorithm | A tree is constructed by joining two subtree or leaves with the least frequency | O(n log n) |
| Counting Sort | Count the number of each element and sort | O(n + k) |
| Radix Sort | Sort based on each digit | O(n * k) |
| Bucket Sort | Hash on n buckets each with a linked list using insertion sort | O(n) |
def quicksort(arr):
if len(arr) <= 1:
return arr
else:
pivot = arr[0]
# all element lesser than pivot is put into this array
less = [x for x in arr[1:] if x <= pivot]
# all element greater than pivot is put into this array
greater = [x for x in arr[1:] if x > pivot]
return quicksort(less) + [pivot] + quicksort(greater)
unsorted_array = [3, 6, 8, 10, 1, 2, 1]
sorted_array = quicksort(unsorted_array)
print("Unsorted array:", unsorted_array)
print("Sorted array:", sorted_array)Recursive
Divide and Conquer
Divide problem into subproblem resursively.
2D-Rank Finding O(n log n)

- Sort all points based on x then y
- Find median line
- Find ranks of points in A and B recursively
- Update ranks of points B when the y value of points in B is greater than A
Closest Pair Problem O(n log n)
Find the closest point in a graph of points. Source.

- Pick a median x point and divide into 2 part recursively. Use brutal when points <= 3
- On merging, find the min pairs from SL(left region), SR(right region), or closest pair that lies in (median + d, median - d). d is the min pair distance in SL and SR. Let p be a point in SL, the y of q in SR side of slab must be in between [p.y + d, p.y - d]
Convex Hull - Graham’s Scan (Greedy)
Find smallest convex polygon containing all of the points.

- Find lowest point. O(n)
- Form nonintersecting polygon by sorting the points counterclockwise. O(n log n)
- Remove nonconvex vertex. O(n)
Voronoi Diagram

Branch and Bound
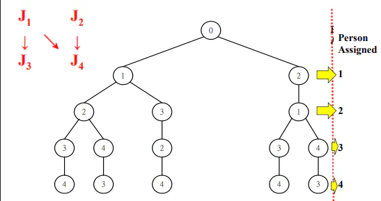
Personnel Assignment Problem

Each personal work each jobs at different cost. Some jobs need to be done before other jobs. Use topological sort to display as branch.

Calculate reduced cost matrix. So that in every branch and bound, we can determine which branch have minimum lower bound.

The final flow is 0, 2, 5, 1, 3, 4 because at each branch, the node have lower bound.
Learn further about this concept on travelling salesman problem.
Knapsack Problem (Branch and Bound)

The upper bound found by a feasible solution. (Picks the most points first). The lower bound is found greedy. (Calculate the density and get allowing weights to be fractured, P1 + P2 + 5/8 P3).

Linear Programming (Prune and Search)

Slice things.
Dynamic Programming
Use memory to save computated values for future use.
Longest Common Subsequence

A = "bacad", eg: ad, ac, bac, acad, bacad, bcd
B = "accbadcb", eg: ad, ac, bac, acad
LCS of A and B: acadKnapsack

i is the total weight, j is the turn of items. In each turn, the vertical arrow suggest now taking that item, the diagonal shift suggest taking that item by shifting n units to the left by the weight. The cell indicates the maximum value of not taking the item (vertical) or take the item max value at reduced weight + current value (diagonal).

To find the optimal results, if the vertical arrow shows same number as the cell. Don’t take that item.
Dynamic Programming LeetCode
Backtracking
Backtracking is a problem-solving algorithmic technique that involves finding a solution incrementally by trying different options and undoing them if they lead to a dead end.
Advanced Data Structure
Randomized Algorithm
Use randomess to solve problems.
| Feature | Las Vegas Algo | Monte Carlo Algo | Deterministic Algo (Normal) |
|---|---|---|---|
| Correctness | Always | High probability of correctness | Always |
| Time by same input | Varies | Constant & controlled | Constant |
| Examples | Randomized Quicksort | 1/2 Approximate Median | Quicksort |
Rabin-Karp Algorithm
A string-searching algorithm that uses hashing.
text = ABCDEFCDE
pattern = CDE
result = [2, 6] (index of substring is same as pattern)
# Steps
Let a = 1, b = 2, ...
Hash(CDE) = (a * 100 + b * 10 + c) mod 13 = 7 = Hash(pattern)
Hash(ABC) = (1 * 100 + 2 * 10 + 3) mod 13 = 6
Hash(BCD) = (2 * 100 + 3 * 10 + 4) mod 13 = 0 # This can be optimized to improve from O(mn) to O(m + n) as below
Hash(BCD) = ( (Hash(BDC) - a * 100) * 10 + d ) mod 13 = 0
Hash(BCD) = ( (0 - 1 * 100) * 10 + 4 ) mod 13 = 0
If Hash(pattern) = Hash(CDE), check manually if the substring is same.Knuth-Morris-Pratt Algorithm
This algorithm is efficient for finding number of occurence of a pattern in a string in O(n). It creates an auxiliary array (LPS) for the pattern that store the previous starting point. Then, we iterate through the string and check if the pattern matches.
def lps(pattern):
m = len(pattern)
lps = [0] * m
i, j = 1, 0
while i < m:
if pattern[i] == pattern[j]:
j += 1
lps[i] = j + 1
i += 1
else:
if j == 0:
lps[i] = 0
i += 1
else:
j = lps[j - 1]
return lps
def kmp(text, pattern):
n = len(text)
m = len(pattern)
lps = lps(pattern)
i = j = 0
while i < n:
if text[i] == pattern[j]:
i += 1
j += 1
if j == m:
print("Found at: ", i - j)
j = lps[j - 1]
else:
if i < n and text[i] != pattern[j]:
if j == 0:
i += 1
else:
j = lps[j - 1]
else:
i += 1 Segment Tree

Stores range values. The picture shows finding sum of interval [2, 4] by adding a[2…2] and a[3…4]. To update a value, iterate the update using divide and conquer.
Disjoint Set Union (DSU) / Union-Find: Excellent for problems involving connectivity or partitioning into sets.
Segment Tree: A powerful tool for handling range queries and updates on an array.
Topological Sorting(拓撲排序):任務排程、編譯順序、依賴解決
Max Flow / Min Cut(Ford-Fulkerson, Edmonds-Karp, Dinic):資源分配、網路流、圖像分割
Strongly Connected Components(Tarjan / Kosaraju):程序分析、模組依賴分析
Union-Find(Disjoint Set Union):連通元件、群組管理
Graph Coloring / Bipartite Checking:資源衝突避免、分組問題
Longest Increasing Subsequence / Substring problems
Tree DP:用在圖論 + 樹結構問題
Bitmask DP:狀態壓縮,解 NP-hard approximation(如旅行推銷員問題 TSP)
Digit DP / Interval DP / Memory-efficient DP:各種複雜變形
⛓️ 三、數學與組合優化(尤其在 AI/ML、理論、密碼學會遇到) 線性規劃(Linear Programming / Simplex)
貪婪演算法正當性分析(Greedy correctness with Matroids)
組合數學與生成函數(Combinatorics, Generating Functions)
模數運算、快速冪、GCD 擴展應用(數論技巧)
Trie + Bit Trie:字串查詢、異或最大化
Suffix Array / Suffix Tree / LCP:字串處理、基因比對、壓縮
Persistent Data Structures(不可變結構): 時間旅行、版本控制
Gradient Descent(GD, SGD, Adam)與收斂條件
Convex Optimization / Lagrange Multiplier
Expectation Maximization(EM)
K-means、DBSCAN、Spectral Clustering
Online Algorithms / Competitive Analysis:做即時決策
Parallel / Distributed Algorithms:多執行緒、GPU 編程、MapReduce